贷款

  • 贷款

  • 信用卡

搜索

卡农金超

评论
您现在的位置:首页 > 口子资讯 > 网贷平台收取高额服务费,是否合理?

网贷平台收取高额服务费,是否合理?

2019-09-09     点击:1141

[db:简介]

一、谁也说不清的服务费

 

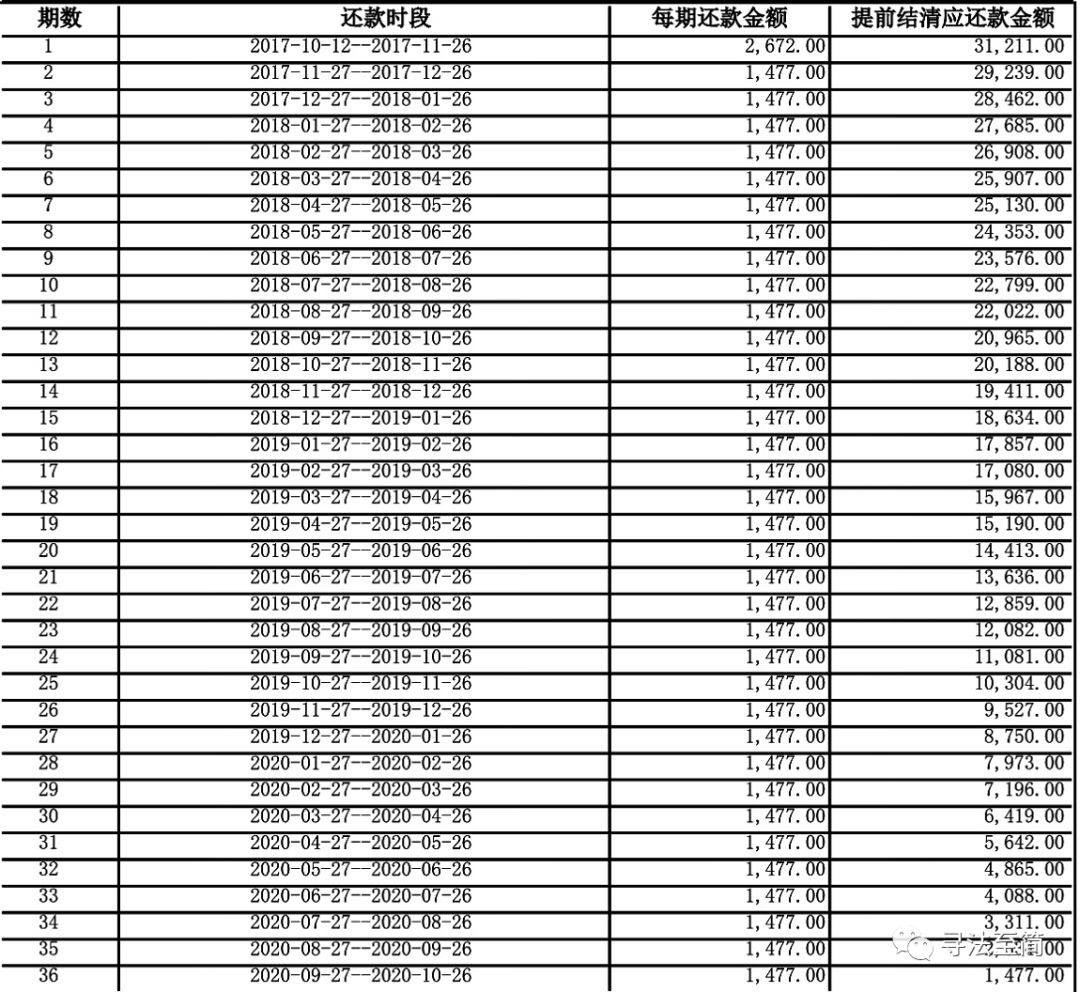
最近接到很多客户关于网络贷款的法律咨询,客户十分苦恼地问我:“明明我只借了28000元,分36期(1期/月)归还,最后却总共要还54367元。”很多客户对此表示有同样的困惑和不解,认为年化利率怎么会那么高,是不是属于违法的?我看了一下客户的贷款服务合同,原来问题并不是出在年化利率上,而是高额的咨询费、服务费。


 

网贷平台收取高额服务费,是否合理?

网贷平台收取高额服务费,是否合理?

 

进入网贷平台,平台就会按照借款本金的3%收取提供借款的咨询费,拿上面的示例来说,收取了840元的咨询费。首期服务费=本金(人民币28000元)✖服务天数✖2.5%/30—当月利息(利率:0.875%/月)—平台服务费。月服务费= 本金(人民币28000元)✖2.5%—当月利息(利率:0.875%/月)—平台服务费。因此,首期需还款的费用为=每月本金+每月利息+咨询费+首期服务费+平台服务费。首期还款额为2672元,其中本金777元;利息245元;咨询费、服务费和平台服务费共1650元。后面每月的还款额为1477元,其中本金777元;利息245元;服务费和平台服务费455元。我们可以看到,平台收取的费用远远超过利息数倍,首期费用是6.7倍,后面每期都是接近2倍。面对如此高额的服务费用,多数金融消费者在借款时根本没有注意到,只是听信客服说的年化利率并不高。从贷款利率的合规性来看,确实不高,未超过法律规定的利率24%,年化仅10.5%。那么这些服务费究竟是些什么费用?借款人尝试去询问平台客服,而平台的回复永远只有“这是公司规定的,电脑系统里算出来的。”

 

二、收取高额服务费背后的原因

1、居高不下的运营成本

据了解,除了给出借人固定的收益外,平台作为一个信息服务中介,还存在其他成本,如营业成本、销售费用、管理费用等。营业成本包含平台运营涉及的第三方通道费、租金成本等;管理费用主要包含董事会、管理层工资与差旅费等;销售费用主要包括渠道推广费、推广运营部门的费用等,同时考虑到部分坏账的情况,平台总成本近几年一直居高不下,且逐年增长。

2、平台恶意增加各种收费名目

有些平台为了提高其利润率,变相提高利率,规避法律对民间借贷的利率限制,向借款人收取各种名义的服务费、平台服务费、管理费、会员费等,且未明确各项的收费名目及具体的服务内容。同时,有些平台还会在本金中预先扣除相关的利息、手续费、管理费、服务费、保证金等各项费用,俗称“砍头息”。

 

三、律师观点

面对网贷平台的收费乱象,笔者从以下两方面来谈谈对网贷平台服务费的看法:

(一)明确关于平台服务费问题法律适用的正确性。

根据 2016年8月17日颁布的《网络借贷信息中介机构业务活动管理暂行办法》明确了作为网络借贷信息中介机构提供信息中介业务活动包括提供信息搜集、信息公布、资信评估、信息交互、借贷撮合等服务。网贷平台是信息服务中介,可以根据其提供的服务收取相应的服务费。因此网贷平台并不是贷款的出借人,借款人与网贷平台的关系为中介服务合同关系,这并不适用《最高人民法院关于审理民间借贷案件适用法律若干问题的规定》中关于“人民法院在民间借贷纠纷案件审理过程中,对于各种以‘利息’‘违约金’‘服务费’‘中介费’‘保证金’‘延期费’等突破或变相突破法定利率红线的,应当依法不予支持”这一规定,此规定是针对出借人和借款人之间的借贷法律关系。因此,在之前的各种评论中关于应当以这一条为依据,利息和各项费用的约定不得超过本金的36%,笔者不敢苟同,认为需分清两者不同的性质。

(二)关于服务费收取的合理性

根据互联网金融风险专项整治工作领导小组办公室、P2P网络借贷风险专项整治工作领导小组办公室于2017年12月1日发布和实施的《关于规范整顿“现金贷”业务的通知》中,关于网络借贷平台规定的是“不得撮合或变相撮合不符合法律有关利率规定的借贷业务;禁止从借贷本金中先行扣除利息、手续费、管理费、保证金以及设定高额逾期利息、滞纳金、罚息等”。这里仅仅提到不允许先行从本金中扣除以及设定高额的逾期费用,但是并未明确服务费的收费标准。然而,这并不意味着网贷平台可以随意向借款人收取各项费用。

目前,在法院的判决中,法院虽然支持网络平台收取服务费,但也会综合评估平台方费用收取的合理性。如果不合理的,与网贷平台所提供服务不符的,法院会适当调低,以保证公平、合理。

笔者也提醒广大借款人,在借款时一定要仔细阅读与网贷平台签订的服务合同或贷款合同,尤其是费率、期限、还款约定、逾期催收等方面的规定,并进行比较评估。由于大多是小额贷款,借款人的维权成本较高,因此需明确借款的成本并评估自身还款压力,确保借款额度在自己的还款能力范围内,不要让网贷的无底洞吞噬了自己。此外,注意保留好与平台的沟通记录、打款记录等,必要时可以作为维权的依据。

同时,自今年年初以来,网络流出《关于做好网贷机构分类处置和风险防范工作的意见》,该文指出坚持以机构退出为主要工作。据网贷之家不完全统计,截至目前,已有深圳、云南、上海、辽宁、四川、山东(济南)、湖南在内的七省市对外公示了网贷机构清退名单,涉及网贷机构数量多达405家。其中包含了取缔类、失联类(僵尸类)、自愿退出类,深圳、上海两地清退数量占比过半。笔者相信网贷的营商环境会日渐规范,充分发挥出网络贷款应有的优势和功能,有利于维护金融消费者的合法权益和维护社会稳定。

 


分享到:

相关推荐

相关问答

用户评论

已有人参与,点击查看更多精彩评论

热门推荐 企业贷个人贷款计算器

更多>热卡申请

更多>极速贷款